2025 Bible Reading Plan: Mississauga
2025 MISSISSAUGA BIBLE READING PLAN
As a church family, we follow the Robert Murray M’Cheyne (RMM)’s two-year Bible reading plan. For 2025, we will be on year-2 which will take us through the second half of the Old Testament, plus all of the New Testament and Psalms.
You can pick up a paper copy at church, download the PDF, or subscribe to the Google calendar reading plan.
Additional Resources
Download the YouVersion bible app and add the “Two-Year Bible Reading Plan: Volume 2” to get app notifications and follow along.
Add the NHF Bible Reading calendar to your personal calendar!
Follow D.A. Carson’s For the Love of God, supplement your daily readings with a devotional, and be part of a larger daily Bible reading community.
Follow Paul Carter’s Into the Word Bible podcast which releases podcasts following the RMM Bible Reading Plan and already has great episodes on 22 different books of the Bible.
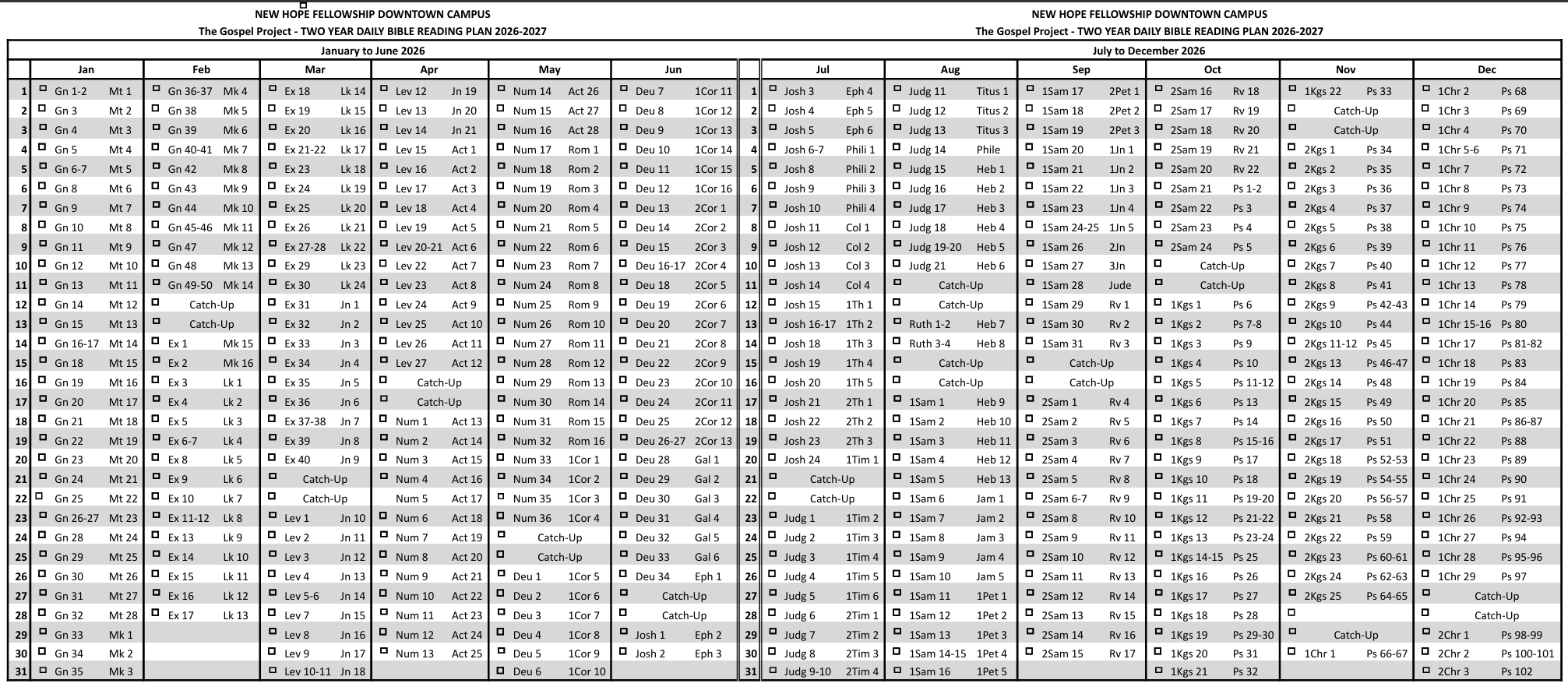
2025 Bible Reading Plan: Downtown
This year, we will be restarting on the Robert Murray M’Cheyne (RMM) Bible Reading Plan. We will go through the New Testament (NT), two-thirds of the Psalms and half of the Old Testament (OT). Next year we will read through the other half of the OT, the last third of the Psalms, the entire book of Proverbs, and another round of reading through the NT. Each day we will be reading a chapter from the OT and a chapter from the NT or Psalms. It is one of the best ways to read the Bible in a systematic and coherent way by which we get to see how the Bible fits together. It is also one of the most widely used Bible reading plans whereby we get to be part of a worldwide Bible reading community.
We encourage you to set your heart to read the Word daily in 2023. Let’s do it together for the glory of God and for the edification of the body of Christ.
 
                         
 
              
             
              
             
              
             
              
             
            