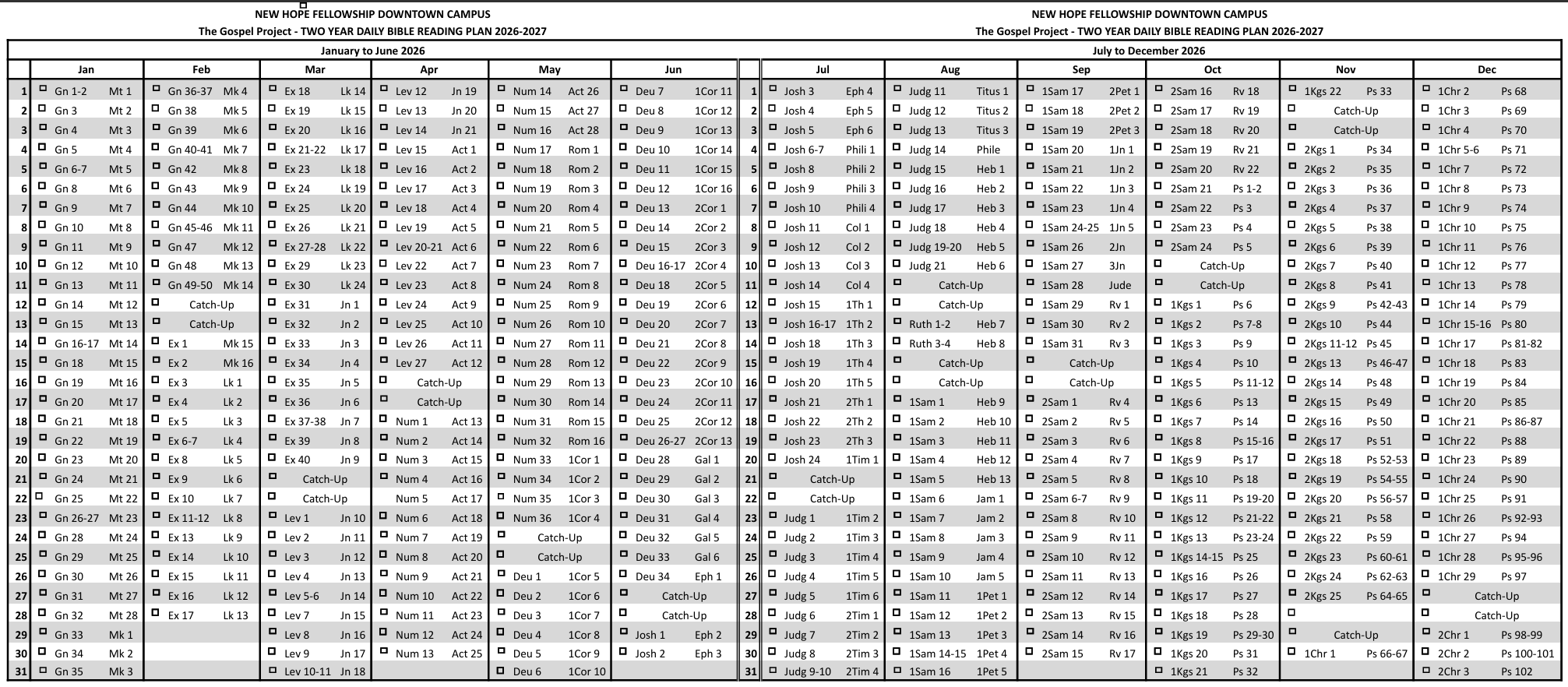
2026 Bible Reading Plan

As a church family, we follow the Robert Murray M’Cheyne (RMM)’s two-year Bible reading plan. It is one of the best ways to read the Bible in a systematic and coherent way by which we get to see how the Bible fits together. It is also one of the most widely used Bible reading plans whereby we get to be part of a worldwide Bible reading community.

We encourage you to set your heart to read the Word daily in 2026. Let’s do it together for the glory of God and for the edification of the body of Christ.

Download 2026 Bible Reading Plan
Download 2027 Bible Reading Plan

Additional Resources

Living Life Devotional App

Living Life is a devotional app that provides daily Scripture passages and reflections to help you meditate and reflect upon the word of God for your devotion time.

 
Previous
Previous

Life Group Signup 2025-26 Season

Next
Next

Wednesday Night PRAYER